🎄 Join 58,000+ Looksmaxxing Members! 🎄

Register a FREE account today to become a member. Once signed in, you'll be able to participate on this site by adding your own topics and posts, as well as connect with other members through your own private inbox.

  • DISCLAIMER: DO NOT ATTEMPT TREATMENT WITHOUT LICENCED MEDICAL CONSULTATION AND SUPERVISION

    This is a public discussion forum. The owners, staff, and users of this website ARE NOT engaged in rendering professional services to the individual reader. DO NOT use the content of this website as an alternative to personal examination and advice from licenced healthcare providers. DO NOT begin, delay, or discontinue treatments and/or exercises without licenced medical supervision. Learn more

Dihydrotestosterone Puberty guide

xcvjkl

Never over
Joined
Nov 22, 2019
Messages
1
Reputation
14
Androgenic effect on secondary male characteristics

  1. Sexual dimorphism and its role in attractiveness of men
Testosterone-dependent secondary sexual characteristics in malesmay signal immunological competence1 and are sexually selected for in several species Enhancing the sexual dimorphism of human faces should raise attractiveness by enhancing sex-hormone-related cues to dominance and immunocompetence in males

For Caucasian and Japanese male faces, increasing the masculinity of face shape across the three set members increased ranking of perceived dominance, masculinity and age but decreased ranking of perceived warmth, emotionality, honesty, cooperativeness and quality as a parent
http://sci-hub.tw/10.1038/29772

“Testosterone affects a number of male facial features. In pubertal males, facilitated by a high testosterone-to-estrogen ratio, the cheekbones, mandibles and chin grow laterally, the bones of the eyebrow ridges and central face grow forward, and the lower facial bones lengthen. Large size of these male sexually dimorphic facial traits is hypothesized to be an honest signal of ability to engage in intrasexual confrontation, and they also contribute to men’s perceived facial dominance.

ImRs9Ez6p-uMoqGTzv0jdt1antCzPWNFUiOD2XY9HlZgbuSOtDXPKZUcGgOrTAdm6HLZEDYvZr3jaD-Xk7rZQLEzMIP5AFPZ2yY6ck5xO-oygzh0jvt12Va0qt374JVZBkKF7Ljo

Feminine normal masculine
Low T normal T High T

High facial width-to-height ratio (fWHR) has been associated with a cluster of behavioural traits in men, including aggression and status-striving. This association between face structure and behaviour may be caused by testosterone. In addition, face-width-to-lower-height ratio was positively associated with testosterone in both samples, suggesting that, in particular, facial width (scaled by two measures of facial height) is associated with testosterone.

Higher cheekbones and a wide (not necessarily squared) jaw are also positively associated with testosterone.

DHT deserves a special mention because it is a very active androgen and acts to induce masculine, aesthetic changes in facial features. However, sensitivity to DHT is an important issue, in the sense that DHT is more “active” after periods of rest or inaction.
(https://peweemaster7.wordpress.com/research-and-proof-dimorphism-and-ratios/)


2. Effect of Dihydrotestosterone

Dihydrotestosterone is a hormone that stimulates the development of male characteristics (an androgen). It is made through conversion of the more commonly known androgen, Testosterone. However you can also take DHT

Growth of body hair, including underarm, abdominal, chest hair and pubic hair. Loss of scalp hair due to androgenic alopecia can also occur.
Greater mass of thigh muscles in front of the femur, rather than behind it as is typical in mature females
Growth of facial hair
Enlargement of larynx (Adam’s apple) and deepening of voice[3]
Increased stature; adult males are taller than adult females, on average
Heavier skull and bone structure
Increased muscle mass and strength
Larger hands, feet and nose than women, prepubescent boys, and girls
Larger bodies
Square face
Small waist, but wider than females
Broadening of shoulders and chest; shoulders wider than hips[4]
Increased secretions of oil and sweat glands, often causing acne and body odor[3]
Coarsening or rigidity of skin texture due to less subcutaneous fat
Higher waist-to-hip ratio than prepubescent or adult females or prepubescent males, on average
Lower bodyfat percentage than prepubescent or adult females or prepubescent males, on average
Enlargement (growth) of the penis (during puberty)

Studies/ Proof

Penis
Following baseline clinical and laboratory assessments all completed a 4-month course of daily DHT gel 2.5% (androstanolone) topically to penis (0.3 mg/kg body weight), with monitoring for adverse effects. Primary outcome was change in stretched penile length (SPL) following treatment

0h_QnAorDIjF38jLeDTigKZh4ko0eVTzAvm90os2Iu57LTn3HtDpfxaZ11DvvKH-ghjbLxjmudof_EyLkXuKIaarkkq9Fslv2bhFskycWg7iRiuwUCl-ZiB7uMRTJshz3QZhXTj3

In the available literature, topical DHT appears to be safe when used for periods of 3–4 months at the doses noted above

Topical DHT treatment appears to be a safe and well tolerated alternative to high-dose IM testosterone for micropenis associated with PAIS. Our case series suggests that for pre- and peri-pubertal boys, this may be a very effective therapy,

sci-hub.tw/10.1515/jpem-2015-0175

Study #2

To investigate the efficacy of transdermal dihydrotestosterone therapy on 22 patients with microphallus, we applied dihydrotestosterone gel for 8 weeks to the external genitalia at daily doses of 12.5 mg. and 25 mg. for ages less than and older than 10 years, respectively



Ds4g-sSgidErX0NYN_kBroEOyNGRsOGoheZvDNz5J95euYEvY2WBzkf9Dt6PFzrplJDSyPk-nyeGBXWjn1P_SWJEiPNgVjqPrstO2F1OTN1lPh2rusr2Y0vIeR4-kGf76LCuD6pV

The mean increase rate (153%) in the first 4 weeks of treatment was higher than that (118%) of the second 4 weeks

Notice how even the 15year old was a good responder
sci-hub.tw/10.1016/s0022-5347(17)35576-3

Secondary sexual characteristics

Four months of DHT treatment (50 mg im every 2 wk) in adolescent boys with delayed puberty was associated with: 1) the appearance of secondary sexual characteristics commensurate with Tanner stage II of puberty; 2) body composition changes characterized by increased lean body mass and decreased percent body fat; 3) no change in IGF-I, mean nocturnal GH, and E2 concentrations; 4) no change in rates of lipolysis; 5) no change in rates of proteolysis; 6) decreased HDL level; and 7) no change in glucose metabolism and insulin sensitivity.


7ilcpnD4RunSpElmsEOOM138KNnNjXb1y6aU71rB_6ES_DkxfZKH1cuJGQebqPJwsL0CIfr0ZthzPM8Rq9KU58Gj9ThjRUmlLUByZDvYVBqFi4bc_HHLZG4SS5GGCll3T-hFeHwU

Note that this dose is small compared to what i would take 50mg daily (id take 14x that dose)

after 4 months of DHT treatment, both weight and height increased (weight, 45.9 ± 3.7 vs. 49.6 ± 3.6 kg, P < 0.001; height, 149.9 ± 1.6 vs. 152.3 ± 1.5 cm, P < 0.001). Growth velocity increased from 4.4 ± 0.8 to 5.9 ± 0.9 cm/yr in five subjects in whom pretreatment growth velocity was available and to 7.1 ± 0.1 cm/yr (n = 10). Fat-free mass (FFM) increased significantly, and percentage body fat decreased

Study number 2

Significant changes in secondary sexual development were seen in both groups. Pubic hair increased from stage 1.1 + 0.1 to 2.0 f 0.5 in group A and from stage 1.2 + 0.2 to 2.2 f 0.3 in group B (P = NS). Testis size did not change appreciably in either group. Testis diameter before treatment was 5.5 + 1.1 in group A and 4.0 + 0.6 in group B (differences not significant by t test). These measurements were 5.8 f 2.2 and 4.7 f 0.8 after treatment, also not significantly different either between groups or as a result of treatment.
ted subjects grew at rates comparable to peak HV for normal pubertal boys (l), at least during the brief period of treatment. Since, in the T-treated subjects, ICGH increased at least 4-fold, and in the DHT-treated subjects, ICGH decreased almost 50%, an increase in GH secretion does not seem to be a necessary condition for androgen-stimulated growth.
sci-hub.tw/10.1210/jcem.76.4.8473416

For older subjects (keep in mind that in terms of androgenic, dht is stronger , Dihydrotestosterone has the ability to bind to sex hormone binding globulin (SHBG) more than three times higher than testosterone)

Keep in mind this used low dose of 250mg test/3 weeks


r_qHh0DgDnPvBKgrG8_fuWvIsJurf0AILH_PnCJ6r5zdSSYIaYyXv3zB3sfDIK0lsL3MK1SM1TE-usfmbRI95tn_kZzr81_K2x6bsRN_eHGp_wTlAPVKB3bGPxHNpxAQBx3pmkK9

Masculinizing therapy for F→M transsexual people was simpler in comparison, with fewer variations between patients and providers.























More than half of the patients felt that the treatment raised general well-being and so had a positive effect sci-hub.tw/10.1111/j.1439-0272.1978.tb03037.x



Example of facial changes following testosterone therapy (all older than 17-18)

XeetkCJgHyrHjnLVdLsLdcyJ0vw1GtJUGFxmluzJ01JXx5IZSWhE-rO_PwuddfDkUnhrG2XguwpeUI3eSsQz_V7oSX9cVLQzX0mo15D8RylPnwPHQuwAxRuy2rtGcBvb7WjT99sx



80zWdJptDnBQAZNczikSCdAqn2ULao-0nAudJy7lEssOLEWXrHPrKmZlQuwsXxoXZQibAnd12gywbVCCZHAoa31RDaZFtUva_Yn7hBz0p-yW__0dw7GZY0fkulNqTITpu9uzNrB4



UVp5CQteJgAqDs-Hs3xUtbUvL_ywhVA8M6yeJtuk4V6CHXBiy4tE_ufqet5tQsrgtRtWx7jsEI6bXvEeDN0LgtFHKTM3qYYj21XVgrVwjtsO5lhLjadj4TZ5arr0usW4thXzn08Y



RmABhOmDdWTIny06cP48e6PucRUgue2rqSVNRJkfkNlxgWBik850ETFhRiAKTQ7GzOqI7ez7cydEmeKfzdahJkFPCP07zMoAX2pBprFMxybTzBp7NdZSfao7YYQHVBmoozdYNLw3


How to take / Dosage

Gel: Cost$$ 80dollars for 240day dosage

Ingredients:
40% Isopropyl Alcohol (91% or better)
15% Isopropyl Myristate
15% Isopropyl Palmitate
10% Oleic Acid
10% Propylene Glycol
10% DMSO (99% Technical Grade or better recommended)
And add DHT gel amount needed

“It has not yet been determined whether local application of androgen is superior to the systemic route but theoretically a high concentration of androgen for penile tissue may be obtained at the site of local application.”
Note: the absorption rate for this is only 40% so multiply your dose by .4 to find how much is actually going in your body

Oral: proviron 50mg/day
Cost $ 1gram is 5.5$
Cycle had to be 10 weeks and has to include a PCT
Few communities that know their shit when it comes to roids : Brotherhoodofpain, steroidsources, fitmisc

Injection: Masteron 300mg/week

Creatine: loading 25g/day 1st week, after 5g/day

3kzb2c10U8OWEXWx4nStA4R30LKhvkVR-d9ICB1aP9qanx0d19kfuKE3spbjMXxh9YGkRJ4_VY57eJAsIhhay-AIqk3SAHPdIo_elDYflwC0SWuJi4aacRK6E2Bo0t-IGUX5iMzF

Serum dht levels increased by 56%


Side effects
Hair loss: I suggest you do peppermint + dermarolling, if you see any signs of balding add ru58841 (topical dht blocker)
Acne: tretinoin 20mg/day (you can order this probably from the same website you order your DHT powder)
 
Register to hide this ad
Androgenic effect on secondary male characteristics

  1. Sexual dimorphism and its role in attractiveness of men
Testosterone-dependent secondary sexual characteristics in malesmay signal immunological competence1 and are sexually selected for in several species Enhancing the sexual dimorphism of human faces should raise attractiveness by enhancing sex-hormone-related cues to dominance and immunocompetence in males

For Caucasian and Japanese male faces, increasing the masculinity of face shape across the three set members increased ranking of perceived dominance, masculinity and age but decreased ranking of perceived warmth, emotionality, honesty, cooperativeness and quality as a parent
http://sci-hub.tw/10.1038/29772

“Testosterone affects a number of male facial features. In pubertal males, facilitated by a high testosterone-to-estrogen ratio, the cheekbones, mandibles and chin grow laterally, the bones of the eyebrow ridges and central face grow forward, and the lower facial bones lengthen. Large size of these male sexually dimorphic facial traits is hypothesized to be an honest signal of ability to engage in intrasexual confrontation, and they also contribute to men’s perceived facial dominance.

ImRs9Ez6p-uMoqGTzv0jdt1antCzPWNFUiOD2XY9HlZgbuSOtDXPKZUcGgOrTAdm6HLZEDYvZr3jaD-Xk7rZQLEzMIP5AFPZ2yY6ck5xO-oygzh0jvt12Va0qt374JVZBkKF7Ljo

Feminine normal masculine
Low T normal T High T

High facial width-to-height ratio (fWHR) has been associated with a cluster of behavioural traits in men, including aggression and status-striving. This association between face structure and behaviour may be caused by testosterone. In addition, face-width-to-lower-height ratio was positively associated with testosterone in both samples, suggesting that, in particular, facial width (scaled by two measures of facial height) is associated with testosterone.

Higher cheekbones and a wide (not necessarily squared) jaw are also positively associated with testosterone.

DHT deserves a special mention because it is a very active androgen and acts to induce masculine, aesthetic changes in facial features. However, sensitivity to DHT is an important issue, in the sense that DHT is more “active” after periods of rest or inaction.
(https://peweemaster7.wordpress.com/research-and-proof-dimorphism-and-ratios/)


2. Effect of Dihydrotestosterone

Dihydrotestosterone is a hormone that stimulates the development of male characteristics (an androgen). It is made through conversion of the more commonly known androgen, Testosterone. However you can also take DHT

Growth of body hair, including underarm, abdominal, chest hair and pubic hair. Loss of scalp hair due to androgenic alopecia can also occur.
Greater mass of thigh muscles in front of the femur, rather than behind it as is typical in mature females
Growth of facial hair
Enlargement of larynx (Adam’s apple) and deepening of voice[3]
Increased stature; adult males are taller than adult females, on average
Heavier skull and bone structure
Increased muscle mass and strength
Larger hands, feet and nose than women, prepubescent boys, and girls
Larger bodies
Square face
Small waist, but wider than females
Broadening of shoulders and chest; shoulders wider than hips[4]
Increased secretions of oil and sweat glands, often causing acne and body odor[3]
Coarsening or rigidity of skin texture due to less subcutaneous fat
Higher waist-to-hip ratio than prepubescent or adult females or prepubescent males, on average
Lower bodyfat percentage than prepubescent or adult females or prepubescent males, on average
Enlargement (growth) of the penis (during puberty)

Studies/ Proof

Penis
Following baseline clinical and laboratory assessments all completed a 4-month course of daily DHT gel 2.5% (androstanolone) topically to penis (0.3 mg/kg body weight), with monitoring for adverse effects. Primary outcome was change in stretched penile length (SPL) following treatment

0h_QnAorDIjF38jLeDTigKZh4ko0eVTzAvm90os2Iu57LTn3HtDpfxaZ11DvvKH-ghjbLxjmudof_EyLkXuKIaarkkq9Fslv2bhFskycWg7iRiuwUCl-ZiB7uMRTJshz3QZhXTj3

In the available literature, topical DHT appears to be safe when used for periods of 3–4 months at the doses noted above

Topical DHT treatment appears to be a safe and well tolerated alternative to high-dose IM testosterone for micropenis associated with PAIS. Our case series suggests that for pre- and peri-pubertal boys, this may be a very effective therapy,

sci-hub.tw/10.1515/jpem-2015-0175

Study #2

To investigate the efficacy of transdermal dihydrotestosterone therapy on 22 patients with microphallus, we applied dihydrotestosterone gel for 8 weeks to the external genitalia at daily doses of 12.5 mg. and 25 mg. for ages less than and older than 10 years, respectively



Ds4g-sSgidErX0NYN_kBroEOyNGRsOGoheZvDNz5J95euYEvY2WBzkf9Dt6PFzrplJDSyPk-nyeGBXWjn1P_SWJEiPNgVjqPrstO2F1OTN1lPh2rusr2Y0vIeR4-kGf76LCuD6pV

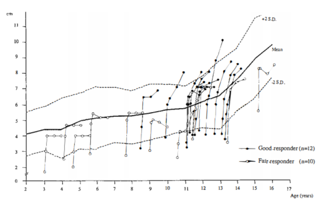
The mean increase rate (153%) in the first 4 weeks of treatment was higher than that (118%) of the second 4 weeks

Notice how even the 15year old was a good responder
sci-hub.tw/10.1016/s0022-5347(17)35576-3

Secondary sexual characteristics

Four months of DHT treatment (50 mg im every 2 wk) in adolescent boys with delayed puberty was associated with: 1) the appearance of secondary sexual characteristics commensurate with Tanner stage II of puberty; 2) body composition changes characterized by increased lean body mass and decreased percent body fat; 3) no change in IGF-I, mean nocturnal GH, and E2 concentrations; 4) no change in rates of lipolysis; 5) no change in rates of proteolysis; 6) decreased HDL level; and 7) no change in glucose metabolism and insulin sensitivity.


7ilcpnD4RunSpElmsEOOM138KNnNjXb1y6aU71rB_6ES_DkxfZKH1cuJGQebqPJwsL0CIfr0ZthzPM8Rq9KU58Gj9ThjRUmlLUByZDvYVBqFi4bc_HHLZG4SS5GGCll3T-hFeHwU

Note that this dose is small compared to what i would take 50mg daily (id take 14x that dose)

after 4 months of DHT treatment, both weight and height increased (weight, 45.9 ± 3.7 vs. 49.6 ± 3.6 kg, P < 0.001; height, 149.9 ± 1.6 vs. 152.3 ± 1.5 cm, P < 0.001). Growth velocity increased from 4.4 ± 0.8 to 5.9 ± 0.9 cm/yr in five subjects in whom pretreatment growth velocity was available and to 7.1 ± 0.1 cm/yr (n = 10). Fat-free mass (FFM) increased significantly, and percentage body fat decreased

Study number 2

Significant changes in secondary sexual development were seen in both groups. Pubic hair increased from stage 1.1 + 0.1 to 2.0 f 0.5 in group A and from stage 1.2 + 0.2 to 2.2 f 0.3 in group B (P = NS). Testis size did not change appreciably in either group. Testis diameter before treatment was 5.5 + 1.1 in group A and 4.0 + 0.6 in group B (differences not significant by t test). These measurements were 5.8 f 2.2 and 4.7 f 0.8 after treatment, also not significantly different either between groups or as a result of treatment.
ted subjects grew at rates comparable to peak HV for normal pubertal boys (l), at least during the brief period of treatment. Since, in the T-treated subjects, ICGH increased at least 4-fold, and in the DHT-treated subjects, ICGH decreased almost 50%, an increase in GH secretion does not seem to be a necessary condition for androgen-stimulated growth.
sci-hub.tw/10.1210/jcem.76.4.8473416

For older subjects (keep in mind that in terms of androgenic, dht is stronger , Dihydrotestosterone has the ability to bind to sex hormone binding globulin (SHBG) more than three times higher than testosterone)

Keep in mind this used low dose of 250mg test/3 weeks


r_qHh0DgDnPvBKgrG8_fuWvIsJurf0AILH_PnCJ6r5zdSSYIaYyXv3zB3sfDIK0lsL3MK1SM1TE-usfmbRI95tn_kZzr81_K2x6bsRN_eHGp_wTlAPVKB3bGPxHNpxAQBx3pmkK9

Masculinizing therapy for F→M transsexual people was simpler in comparison, with fewer variations between patients and providers.























More than half of the patients felt that the treatment raised general well-being and so had a positive effect sci-hub.tw/10.1111/j.1439-0272.1978.tb03037.x



Example of facial changes following testosterone therapy (all older than 17-18)

XeetkCJgHyrHjnLVdLsLdcyJ0vw1GtJUGFxmluzJ01JXx5IZSWhE-rO_PwuddfDkUnhrG2XguwpeUI3eSsQz_V7oSX9cVLQzX0mo15D8RylPnwPHQuwAxRuy2rtGcBvb7WjT99sx



80zWdJptDnBQAZNczikSCdAqn2ULao-0nAudJy7lEssOLEWXrHPrKmZlQuwsXxoXZQibAnd12gywbVCCZHAoa31RDaZFtUva_Yn7hBz0p-yW__0dw7GZY0fkulNqTITpu9uzNrB4



UVp5CQteJgAqDs-Hs3xUtbUvL_ywhVA8M6yeJtuk4V6CHXBiy4tE_ufqet5tQsrgtRtWx7jsEI6bXvEeDN0LgtFHKTM3qYYj21XVgrVwjtsO5lhLjadj4TZ5arr0usW4thXzn08Y



RmABhOmDdWTIny06cP48e6PucRUgue2rqSVNRJkfkNlxgWBik850ETFhRiAKTQ7GzOqI7ez7cydEmeKfzdahJkFPCP07zMoAX2pBprFMxybTzBp7NdZSfao7YYQHVBmoozdYNLw3


How to take / Dosage

Gel: Cost$$ 80dollars for 240day dosage

Ingredients:
40% Isopropyl Alcohol (91% or better)
15% Isopropyl Myristate
15% Isopropyl Palmitate
10% Oleic Acid
10% Propylene Glycol
10% DMSO (99% Technical Grade or better recommended)
And add DHT gel amount needed

“It has not yet been determined whether local application of androgen is superior to the systemic route but theoretically a high concentration of androgen for penile tissue may be obtained at the site of local application.”
Note: the absorption rate for this is only 40% so multiply your dose by .4 to find how much is actually going in your body

Oral: proviron 50mg/day
Cost $ 1gram is 5.5$
Cycle had to be 10 weeks and has to include a PCT
Few communities that know their shit when it comes to roids : Brotherhoodofpain, steroidsources, fitmisc

Injection: Masteron 300mg/week

Creatine: loading 25g/day 1st week, after 5g/day

3kzb2c10U8OWEXWx4nStA4R30LKhvkVR-d9ICB1aP9qanx0d19kfuKE3spbjMXxh9YGkRJ4_VY57eJAsIhhay-AIqk3SAHPdIo_elDYflwC0SWuJi4aacRK6E2Bo0t-IGUX5iMzF

Serum dht levels increased by 56%


Side effects
Hair loss: I suggest you do peppermint + dermarolling, if you see any signs of balding add ru58841 (topical dht blocker)
Acne: tretinoin 20mg/day (you can order this probably from the same website you order your DHT powder)
where do you buy all this, make a simple post for timecels
 
Interesting stuff, thanks for posting it.

I would like to try it, but I am afraid of losing my NW0 hairline tbh.

If I am 18 years old would this make my brow ridge and/or chin increase on size? Is it worth the risk?
 
2. Effect of Dihydrotestosterone

Dihydrotestosterone is a hormone that stimulates the development of male characteristics (an androgen). It is made through conversion of the more commonly known androgen, Testosterone. However you can also take DHT

Growth of body hair, including underarm, abdominal, chest hair and pubic hair. Loss of scalp hair due to androgenic alopecia can also occur.
Greater mass of thigh muscles in front of the femur, rather than behind it as is typical in mature females
Growth of facial hair
Enlargement of larynx (Adam’s apple) and deepening of voice[3]
Increased stature; adult males are taller than adult females, on average
Heavier skull and bone structure
Increased muscle mass and strength
Larger hands, feet and nose than women, prepubescent boys, and girls
Larger bodies
Square face
Small waist, but wider than females
Broadening of shoulders and chest; shoulders wider than hips[4]
Increased secretions of oil and sweat glands, often causing acne and body odor[3]
Coarsening or rigidity of skin texture due to less subcutaneous fat
Higher waist-to-hip ratio than prepubescent or adult females or prepubescent males, on average
Lower bodyfat percentage than prepubescent or adult females or prepubescent males, on average
Enlargement (growth) of the penis (during puberty)
i dont think i have a single one of these characteristics. brutal
 
Androgenic effect on secondary male characteristics

  1. Sexual dimorphism and its role in attractiveness of men
Testosterone-dependent secondary sexual characteristics in malesmay signal immunological competence1 and are sexually selected for in several species Enhancing the sexual dimorphism of human faces should raise attractiveness by enhancing sex-hormone-related cues to dominance and immunocompetence in males

For Caucasian and Japanese male faces, increasing the masculinity of face shape across the three set members increased ranking of perceived dominance, masculinity and age but decreased ranking of perceived warmth, emotionality, honesty, cooperativeness and quality as a parent
http://sci-hub.tw/10.1038/29772

“Testosterone affects a number of male facial features. In pubertal males, facilitated by a high testosterone-to-estrogen ratio, the cheekbones, mandibles and chin grow laterally, the bones of the eyebrow ridges and central face grow forward, and the lower facial bones lengthen. Large size of these male sexually dimorphic facial traits is hypothesized to be an honest signal of ability to engage in intrasexual confrontation, and they also contribute to men’s perceived facial dominance.

ImRs9Ez6p-uMoqGTzv0jdt1antCzPWNFUiOD2XY9HlZgbuSOtDXPKZUcGgOrTAdm6HLZEDYvZr3jaD-Xk7rZQLEzMIP5AFPZ2yY6ck5xO-oygzh0jvt12Va0qt374JVZBkKF7Ljo

Feminine normal masculine
Low T normal T High T

High facial width-to-height ratio (fWHR) has been associated with a cluster of behavioural traits in men, including aggression and status-striving. This association between face structure and behaviour may be caused by testosterone. In addition, face-width-to-lower-height ratio was positively associated with testosterone in both samples, suggesting that, in particular, facial width (scaled by two measures of facial height) is associated with testosterone.

Higher cheekbones and a wide (not necessarily squared) jaw are also positively associated with testosterone.

DHT deserves a special mention because it is a very active androgen and acts to induce masculine, aesthetic changes in facial features. However, sensitivity to DHT is an important issue, in the sense that DHT is more “active” after periods of rest or inaction.
(https://peweemaster7.wordpress.com/research-and-proof-dimorphism-and-ratios/)


2. Effect of Dihydrotestosterone

Dihydrotestosterone is a hormone that stimulates the development of male characteristics (an androgen). It is made through conversion of the more commonly known androgen, Testosterone. However you can also take DHT

Growth of body hair, including underarm, abdominal, chest hair and pubic hair. Loss of scalp hair due to androgenic alopecia can also occur.
Greater mass of thigh muscles in front of the femur, rather than behind it as is typical in mature females
Growth of facial hair
Enlargement of larynx (Adam’s apple) and deepening of voice[3]
Increased stature; adult males are taller than adult females, on average
Heavier skull and bone structure
Increased muscle mass and strength
Larger hands, feet and nose than women, prepubescent boys, and girls
Larger bodies
Square face
Small waist, but wider than females
Broadening of shoulders and chest; shoulders wider than hips[4]
Increased secretions of oil and sweat glands, often causing acne and body odor[3]
Coarsening or rigidity of skin texture due to less subcutaneous fat
Higher waist-to-hip ratio than prepubescent or adult females or prepubescent males, on average
Lower bodyfat percentage than prepubescent or adult females or prepubescent males, on average
Enlargement (growth) of the penis (during puberty)

Studies/ Proof

Penis
Following baseline clinical and laboratory assessments all completed a 4-month course of daily DHT gel 2.5% (androstanolone) topically to penis (0.3 mg/kg body weight), with monitoring for adverse effects. Primary outcome was change in stretched penile length (SPL) following treatment

0h_QnAorDIjF38jLeDTigKZh4ko0eVTzAvm90os2Iu57LTn3HtDpfxaZ11DvvKH-ghjbLxjmudof_EyLkXuKIaarkkq9Fslv2bhFskycWg7iRiuwUCl-ZiB7uMRTJshz3QZhXTj3

In the available literature, topical DHT appears to be safe when used for periods of 3–4 months at the doses noted above

Topical DHT treatment appears to be a safe and well tolerated alternative to high-dose IM testosterone for micropenis associated with PAIS. Our case series suggests that for pre- and peri-pubertal boys, this may be a very effective therapy,

sci-hub.tw/10.1515/jpem-2015-0175

Study #2

To investigate the efficacy of transdermal dihydrotestosterone therapy on 22 patients with microphallus, we applied dihydrotestosterone gel for 8 weeks to the external genitalia at daily doses of 12.5 mg. and 25 mg. for ages less than and older than 10 years, respectively



Ds4g-sSgidErX0NYN_kBroEOyNGRsOGoheZvDNz5J95euYEvY2WBzkf9Dt6PFzrplJDSyPk-nyeGBXWjn1P_SWJEiPNgVjqPrstO2F1OTN1lPh2rusr2Y0vIeR4-kGf76LCuD6pV

The mean increase rate (153%) in the first 4 weeks of treatment was higher than that (118%) of the second 4 weeks

Notice how even the 15year old was a good responder
sci-hub.tw/10.1016/s0022-5347(17)35576-3

Secondary sexual characteristics

Four months of DHT treatment (50 mg im every 2 wk) in adolescent boys with delayed puberty was associated with: 1) the appearance of secondary sexual characteristics commensurate with Tanner stage II of puberty; 2) body composition changes characterized by increased lean body mass and decreased percent body fat; 3) no change in IGF-I, mean nocturnal GH, and E2 concentrations; 4) no change in rates of lipolysis; 5) no change in rates of proteolysis; 6) decreased HDL level; and 7) no change in glucose metabolism and insulin sensitivity.


7ilcpnD4RunSpElmsEOOM138KNnNjXb1y6aU71rB_6ES_DkxfZKH1cuJGQebqPJwsL0CIfr0ZthzPM8Rq9KU58Gj9ThjRUmlLUByZDvYVBqFi4bc_HHLZG4SS5GGCll3T-hFeHwU

Note that this dose is small compared to what i would take 50mg daily (id take 14x that dose)

after 4 months of DHT treatment, both weight and height increased (weight, 45.9 ± 3.7 vs. 49.6 ± 3.6 kg, P < 0.001; height, 149.9 ± 1.6 vs. 152.3 ± 1.5 cm, P < 0.001). Growth velocity increased from 4.4 ± 0.8 to 5.9 ± 0.9 cm/yr in five subjects in whom pretreatment growth velocity was available and to 7.1 ± 0.1 cm/yr (n = 10). Fat-free mass (FFM) increased significantly, and percentage body fat decreased

Study number 2

Significant changes in secondary sexual development were seen in both groups. Pubic hair increased from stage 1.1 + 0.1 to 2.0 f 0.5 in group A and from stage 1.2 + 0.2 to 2.2 f 0.3 in group B (P = NS). Testis size did not change appreciably in either group. Testis diameter before treatment was 5.5 + 1.1 in group A and 4.0 + 0.6 in group B (differences not significant by t test). These measurements were 5.8 f 2.2 and 4.7 f 0.8 after treatment, also not significantly different either between groups or as a result of treatment.
ted subjects grew at rates comparable to peak HV for normal pubertal boys (l), at least during the brief period of treatment. Since, in the T-treated subjects, ICGH increased at least 4-fold, and in the DHT-treated subjects, ICGH decreased almost 50%, an increase in GH secretion does not seem to be a necessary condition for androgen-stimulated growth.
sci-hub.tw/10.1210/jcem.76.4.8473416

For older subjects (keep in mind that in terms of androgenic, dht is stronger , Dihydrotestosterone has the ability to bind to sex hormone binding globulin (SHBG) more than three times higher than testosterone)

Keep in mind this used low dose of 250mg test/3 weeks


r_qHh0DgDnPvBKgrG8_fuWvIsJurf0AILH_PnCJ6r5zdSSYIaYyXv3zB3sfDIK0lsL3MK1SM1TE-usfmbRI95tn_kZzr81_K2x6bsRN_eHGp_wTlAPVKB3bGPxHNpxAQBx3pmkK9

Masculinizing therapy for F→M transsexual people was simpler in comparison, with fewer variations between patients and providers.























More than half of the patients felt that the treatment raised general well-being and so had a positive effect sci-hub.tw/10.1111/j.1439-0272.1978.tb03037.x



Example of facial changes following testosterone therapy (all older than 17-18)

XeetkCJgHyrHjnLVdLsLdcyJ0vw1GtJUGFxmluzJ01JXx5IZSWhE-rO_PwuddfDkUnhrG2XguwpeUI3eSsQz_V7oSX9cVLQzX0mo15D8RylPnwPHQuwAxRuy2rtGcBvb7WjT99sx



80zWdJptDnBQAZNczikSCdAqn2ULao-0nAudJy7lEssOLEWXrHPrKmZlQuwsXxoXZQibAnd12gywbVCCZHAoa31RDaZFtUva_Yn7hBz0p-yW__0dw7GZY0fkulNqTITpu9uzNrB4



UVp5CQteJgAqDs-Hs3xUtbUvL_ywhVA8M6yeJtuk4V6CHXBiy4tE_ufqet5tQsrgtRtWx7jsEI6bXvEeDN0LgtFHKTM3qYYj21XVgrVwjtsO5lhLjadj4TZ5arr0usW4thXzn08Y



RmABhOmDdWTIny06cP48e6PucRUgue2rqSVNRJkfkNlxgWBik850ETFhRiAKTQ7GzOqI7ez7cydEmeKfzdahJkFPCP07zMoAX2pBprFMxybTzBp7NdZSfao7YYQHVBmoozdYNLw3


How to take / Dosage

Gel: Cost$$ 80dollars for 240day dosage

Ingredients:
40% Isopropyl Alcohol (91% or better)
15% Isopropyl Myristate
15% Isopropyl Palmitate
10% Oleic Acid
10% Propylene Glycol
10% DMSO (99% Technical Grade or better recommended)
And add DHT gel amount needed

“It has not yet been determined whether local application of androgen is superior to the systemic route but theoretically a high concentration of androgen for penile tissue may be obtained at the site of local application.”
Note: the absorption rate for this is only 40% so multiply your dose by .4 to find how much is actually going in your body

Oral: proviron 50mg/day
Cost $ 1gram is 5.5$
Cycle had to be 10 weeks and has to include a PCT
Few communities that know their shit when it comes to roids : Brotherhoodofpain, steroidsources, fitmisc

Injection: Masteron 300mg/week

Creatine: loading 25g/day 1st week, after 5g/day

3kzb2c10U8OWEXWx4nStA4R30LKhvkVR-d9ICB1aP9qanx0d19kfuKE3spbjMXxh9YGkRJ4_VY57eJAsIhhay-AIqk3SAHPdIo_elDYflwC0SWuJi4aacRK6E2Bo0t-IGUX5iMzF

Serum dht levels increased by 56%


Side effects
Hair loss: I suggest you do peppermint + dermarolling, if you see any signs of balding add ru58841 (topical dht blocker)
Acne: tretinoin 20mg/day (you can order this probably from the same website you order your DHT powder)
strong first post (y)
 
getting non-faked roids is very hard
 
Pren T matters way more than pubertal T for face.

Those FtMs look like boys that didn't really finish puberty and still have a extremely neotenous skin coloring and appearance.

Pubertal T matters more for frame though.

Look at Barrett, he legit has the body of a eunuch. His prenatal T was surely very high, but I doubt the same for his pubertal T.

50465F7C00000578-6174701-Sun_s_out_guns_out_International_model_Jordan_Barrett_showed_off-a-2_1537153751331.jpg
 
Pren T matters way more than pubertal T for face.

Those FtMs look like boys that didn't really finish puberty and still have a extremely neotenous skin coloring and appearance.

Pubertal T matters more for frame though.

Look at Barrett, he legit has the body of a eunuch. His prenatal T was surely very high, but I doubt the same for his pubertal T.

50465F7C00000578-6174701-Sun_s_out_guns_out_International_model_Jordan_Barrett_showed_off-a-2_1537153751331.jpg

Barret has insane broad square shoulders
 

Users who are viewing this thread

Back
Top